Allgemeine Bemerkungen zu Heißluft- bzw. Stirlingmotoren

In der Presse taucht immer wieder euphorisch die Meldung auf => der Stirlingmotor hat eine große Zukunft.

Ich habe mich schon einige Zeit mit Heißluftmotoren beschäftigt, zwar nicht mit Leistungsstirlingmotoren, sondern mit Modellmotoren.
Grundsätzlich sind die Erfahrungen auch auf den Leistungsbereich übertragbar.
Bevor die ersten bemannten Flugzeuge in die Luft gingen, gab es auch erstmal Versuche mit Modellflugzeugen.
Meine Versuche bezüglich Heißluftmotoren beschränken sich auf die grundsätzlichen Varianten dieser Motoren, dennoch wage ich Rückschlüsse auf  Leistungsstirlingmotoren zu ziehen.
Bei den Leistungsstirlingmotoren ist der technische Aufwand enorm, um z.B. einen Wirkungsgrad von ca. 40%  und Leistungen über 10 KW zu erhalten.
Das Problem aller Heißluftmaschinen ist die notwendige große Temperaturdifferenz und die hohen Arbeitsdrücke des Gases, um einen vernünftigen Wirkungsgrad und Leistung zu erzielen und das ist technisch nicht einfach zu beherrschen. Die hohen Temperaturdifferenzen lassen sich meiner Meinung nach momentan nur mit fossilen Brennstoffen erzielen und da sind die Verbrennungsmaschinen und Gasturbinen den Heißluftmaschinen noch überlegen. Wenn der Wirkungsgrad nicht die Rolle spielt, dann ist mit der Sonnenenergie einiges zu machen.
Ich sehe die praktische Anwendung von Stirlingmotoren in der Zukunft auch eher in der Ausnutzung der Sonnenenergie.
Bei Verwendung von fossilen Brennstoffen scheint mir ein auf  konstante Drehzahl optimierter Diesel- oder Gasmotor mit einem Wirkungsgrad von 45 % günstiger und ausgereifter (auch was die Lebensdauer anbetrifft) zu sein, als ein Stirlingmotor mit einen praktischen Wirkungsgrad von 40 % ( der theoretische Wirkungsgrad des Carnot-Prozesses liegt bei  ca. 66-67%, der des Stirlingprozesses bei ca. 52 %). Die Wirkungsgrade beziehen sich auf eine max. Temperatur von ca. 800-900 Grad Kelvin, bei einer Umgebungstemperatur von ca. 300 Grad Kelvin.
Der reale Stirlingprozess hat wegen der abgeführten Wärme einen kleineren Wirkungsgrad als der Carnot-Prozess.
Wenn ich meine Modell-Heißluftmotoren unter dem Gesichtspunkt Leistung betrachte, dann müsste ich die Motoren direkt auf den Müll befördern.
Da setze ich z.B. einen Brenner (Teelicht oder Spiritusbrenner), der eine Leistung von ca. 10-100 W! hat ein, und heraus bekomme ich, selbst wenn ich alles gut und optimiert gefertigt habe, vielleicht eine Leistung mechanisch oder elektrisch von 1-10 W heraus. Grob überschlagen kommt da nur 1/10 der eingesetzen Leistung raus.  Das ist eine Leistungsbilanz! 
Zum Vergleich:  ein bürstenloser Elektromotor (Brushlessmotor) erreicht einen Wirkungsgrad von 80-90%.

Bei einem mit Sonnenenergie betriebenen Stirlingmotor spielt der Wirkungsgrad nicht die entscheidende Rolle, da die Sonnenenergie praktisch unbegrenzt bis zum Weltuntergang zur Verfügung steht. Vermutlich ist es der richtigere Weg einen Low Temperature Difference Stirling (LTD-Stirling) mit größerer Leistungausbeute zu konzipieren, nur ist mit der Sonneneinstrahlung in unseren Breitengraden auch nicht gerade der Blumentopf mit dem Stirling-Prozess zu gewinnen.
Ich gebe da den Solarzellen für die Zukunft mehr Chancen, da diese auch bei bedecktem Himmel noch Strom liefern können.

Anmerkung zur Leistung von Modell-Heißluftmotoren:

Viele Modellbauer sind sich nicht bewusst, welch geringe Leistung die (Modell)heißluftmotoren haben.
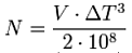
Wer es nicht glaubt, der möge doch mal seinen Stirling nach der empirischen Formel von Prof. Ivo Kolin durchrechnen:

N = Wellenleistung in KW
V = kleinstes Arbeitsvolumen in dm³ oder Liter, wobei alle Toträume abgezogen werden sollten. 
V = Vzylinder- Vverdränger
deltaT= Temperaturdifferenz in Kelvin (deltaT = Tmax - Tmin)
Tmax =  maximal Temperatur  in Kelvin
Tmin =   minimal Temperatur Kelvin

Diese empirische Formel ist zwar für die schnelle Berechnung von Flachplatten-Stirlingmotoren gedacht, lässt sich aber auch ganz gut für unsere Modellmotoren anwenden.
Die Abweichungen gegenüber der ausführlichen Berechnung nach der Theorie von  G.Schmidt sind verblüffend gering!

Auch eine schnelle Berechnung nach Beale ist möglich. Sie ist zwar für aufgeladene Stirlingmotoren vorgesehen, ist aber auch für unsere nicht aufgeladenen Motoren akzeptabel  und hier geht die Drehzahl mit ein:

N  = Wellenleistung in W
0,015  Beale-Konstante (empirisch, dimensionslos)
f  = Zahl der Arbeitsspiele je Sekunde
pm = Mitteldruck in bar
Vo = Volumen, welches vom Arbeitskolben durchfahren wird in cm³
 

Die Schwierigkeiten, die manche Modellbauer beim Nachbau von Heißluftmotoren haben, ist auf die geringe Leistung dieser Motoren zurückzuführen. Das fängt mit der Kolben/Zylinder-Kombination an, die nicht reibungsarm und luftdicht genug ausgeführt wird (Schmierung ist auch nicht der "wahre Jakob" und gilt auch nur für größere Motoren ) und hört bei den Übertragungsteilen (Gestänge, Pleuel etc.) auf. Ein kritischer Punkt ist auch die Führungsbuchse zum Verdrängerkolben, sie muss reibungsarm und dennoch luftdicht sein und der Verdrängerkolben sollte so leicht wie möglich sein, vor allem wenn er waagerecht geführt wird.
Wer schon mal einen kleinen (1ccm) Modellmotor (Diesel oder Glühzünder) in Betrieb hatte und vergleicht die Leistung dieser Motörchen mit einem Heißluftmotor gleicher Baugröße (Hubraum und Hub) der weiß, "wo der Hammer hängt".

Anmerkung zum Ölen:
Die Führungsbuchse für den Verdränger öle ich im Normalfall nicht und wenn es sein muss, dann  nur mit Uhrenöl der Sorte 1 oder noch reibungsärmer mit Petroleum. Diese Art Ölung  muss aber immer wiederholt werden!

Was mich besonders vor allem auf  youtube auf die Palme bringt, ist der Versuch mit Modell-Stirlingmotoren zu zeigen, wie toll diese Motoren Leistung abgeben. Da werden LED eingesetzt die bei 20 mA und 3 V  - zugegeben - sehr schön hell leuchten. Das sind gerade mal 60 mW bei einer LED. 
Bei einer "Batterie" von 10 LED nur 600 mW. Eine wahrlich beindruckende Leistungsabgabe bei einem Einsatz von 10 W.
Da kann ich nur müde abwinken (siehe hierzu mein Experiment " thermoakustischer Motor" als Freikolbenmotor).

Vergleich Gamma-Stirling zu Alpha-Stirling:
Bei meinen Experimenten mit dem beiden Stirlingtypen habe ich festgestellt, dass es in Grunde genommen keinen "echten" Gamma-Stirling gibt. Dazu müsste die Achse zum Verdränger unendlich dünn sein. Je größer der Durchmesser der Achse ist, umso mehr wirkt diese auch als Kolben und der Gamma-Stirling wird mehr und mehr zum Alpha-Stirling. Es ist mir z.B. nicht gelungen den Opitec-Gamma-Stirling als Ringbom zu betreiben im Gegensatz zum Gamma-Stirling von René Schaffer. Durch die dünne Achse wird wohl nicht genügend Druck bzw. Unterdruck aufgebaut um den Verdränger zu bewegen. Die Achse beim Schaffer-Stirling hat einen Durchmesser von 5mm und bei "meinem" Opitec nur 3mm, bedeutet, der Gamma-Stirling von Schaffer arbeitet bereits als "Semi-Alpha-Stirling". Ich nehme an, dass es sich auch mathematisch beweisen lässt, dass der Übergang vom Gamma-Stirling zum Alpha-Stirling fliesend ist.
 

Tipps zum Bau
Stirlingmotor:
Es ist beim Bau von Modellheißluftmotoren unbedingt auf absolute Reibungsarmut aller Bauteile zu achten und die bekomme ich nur, wenn ich beim Bau präzise arbeite, besonders bei den Übertragungsteilen wie Gestänge, Pleuel, Pleuelbefestigung, korrekter Sitz der Kugellager etc.
Es gibt hierzu einen einfachen Test (ich gehe davon aus, dass der Kolben den Zylinder luftdicht verschließt):
Wird das fertige Motörchen ohne Flamme mit kräftigem Schwung "angeworfen", dann muss das Schwungrad noch etliche (wenigstens 5) Umdrehungen weiterdrehen, bevor es stehen bleibt. Gibt es da nur 1 oder 2 Umdrehungen, dann ist die Reibung zu hoch.
Eine weitere Fehlerquelle könnten auch defekte Kugellager sein. Das habe ich schon mal bei 2 Motoren feststellen müssen. Einmal beim lamina flow Motor mit senkrechtem Arbeitszylinder und  beim Gamma-Stirling mit Ross Yoke Steuerung. Da wollte der Motor auf einmal nicht mehr richtig drehen. Es stellte sich heraus, dass eins der beiden Schwungradkugellager trotz beidseitiger Kapselung durch Schmutz zuviel Reibung hatte. Nach dem Austausch war die Welt wieder in Ordnung.

Flammenfresser:
Beim Nachbau des Flammenfressers hat sich der Graphitkolben (Bengs-Modellbau) bewährt.
Die Frage ist nur welches Material nehme ich für den Zylinder, Eisen, Messing oder Aluminium? Speziell beim Flammenfresser scheint Eisen günstiger zu sein, da sich die Schwitzwasserbildung nicht so negativ beim Anwerfen auswirkt. Der Motor springt sehr gut an, allerdings sollte er gut warmlaufen, damit die Rostgefahr für den Zylinder verringert wird.
Messing ist in dieser Hinsicht (rostfrei) besser, dafür braucht der Motor viel länger bevor er sauber anläuft, vor allem wenn die Lauffläche spiegelblank ist.
Die Materialpaarung Graphit/Aluminium soll angeblich nicht so gut sein, dies konnte ich aber speziell beim Niedertemperaturstirlingmotor nicht feststellen. Mag sein, dass diese Materialpaarung beim industriellem Einsatz mit hoher Standfestigkeit nicht optimal ist.

Schlußbemerkung:
Wenn ein Stirlingmotor und auch ein Stirling-Modellmotor sehr reibungsarm und mit großer Temperaturdifferenz betrieben wird, dann kann der Motor ohne Last "durchgehen", d.h. die Drehzahl kann locker mehr als 3000 U/min erreichen. Dies konnte ich bei meinem Gamma-Stirling von René Schaffer beobachten, bei dem ich alle Register für reibungsarmen Bau gezogen habe und auch der Opitec Gamma-Stirling zeigt dieses Verhalten (Video). Der Motor ist ca. 2 Min. warmgelaufen. Man beachte die schlagartige Drehzahlzunahme von 1800 U/min auf über 2300 U/min im letzten Drittel des Filmes (am Laufgeräusch zu erkennen). Dann habe ich abgebrochen, um den Motor nicht zu gefährden.
Ich muss aber betonen, dass es außerordentlich schwierig ist, bei einem Heißluft/-Stirlingmodell mehr als 2000 U/Min mit einem Spiritusbrenner zu erzielen. Geht auch nur, wenn die Reibung minimiert wird und die beweglichen Teile so leicht wie möglich gemacht werden und wenn es tatsächlich mehr als 2000 U/Min werden sollen, dann muss schon ein Schweißbrenner herhalten.

Startseite